6. Energía del oscilador armónico.

0 comentarios

La fuerza ejercida sobre un oscilador armónico y que cumple la ley de Hooke, es conservativa, de lo que se deduce que la energía mecánica (total) del oscilador se mantiene constante a lo largo de las distintas oscilaciones.

 Esto quiere decir que en cada oscilación se produce una continua transformación de energía potencial elástica en energía cinética.

 Veamos las expresiones de dichas energías tanto en función del tiempo como en función de la posición.

Un cuerpo que describe un MAS tiene energía cinética y energía potencial elástica

Energía cinética 

La energía cinética de un oscilador armónico vale:

donde m es la masa del oscila+dor y v el valor de su velocidad instantánea. Tomando la ecuación resulta:


En los extremos de la trayectoria la energía cinética vale 0 puesto que allí la partícula tiene velocidad 0. La energía cinética de la partícula es máxima cuando pasa por el centro de la trayectoria, puesto que en ese punto la velocidad es máxima, y vale:
Energía potencial elástica 
La energía potencial elástica de un oscilador armónico sujeto a un muelle de constante K tiene la expresión: 
donde x es la posición del oscilador con respecto a su posición de equilibrio. Tomando la ecuación resulta:
En el centro de la trayectoria la energía potencial es 0, puesto que en este punto la elongación es nula. En los extremos de la trayectoria la energía potencial elástica de un oscilador armónico es máxima, puesto que en ellos la elongación es máxima, y vale:
Que como vemos coincide con la energía cinética máxima.
Energía mecánica 
Si el movimiento es no amortiguado, es decir, ausencia de rozamiento, entonces no habría trabajo de fuerzas no conservativas y se cumpliría el PCEM, es decir, la energía mecánica de la partícula permanecería constante en cualquier punto de la trayectoria y en las sucesivas oscilaciones.
Esto quiere decir que en cada oscilación se produce una continua transformación o intercambio de energía potencial elástica en energía cinética y viceversa. 
Como la energía mecánica es la suma de la energía cinética y la energía potencial elástica del oscilador. Así, al realizar dicha suma con las ecuaciones y resulta:
con la que se comprueba que la energía mecánica del oscilador es constante una vez fijados los valores de la constante recuperadora, K, y la amplitud, A.
Gráfica energética del oscilador armónico 
En esta gráfica se han representado las variaciones de energía cinética y potencial del oscilador armónico a lo largo de una oscilación en función de la posición x. En ella se observa cómo se produce una transformación continua de una forma de energía en otra, de forma que la energía mecánica se mantiene constante.
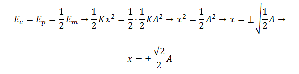
Podemos destacar en la gráfica que hay dos puntos simétricos a un lado y otro de la posición de equilibrio, en los que la partícula tiene la misma energía cinética que potencial, y que podemos localizar del modo siguiente:

que como observamos son puntos que se encuentran mas cerca de los extremos que del centro de la trayectoria.


Publicar un comentario