Geometría 3.- Problemas métricos

0 comentarios
GEOMETRÍA

3. Problemas métricos
Resultado de imagen de vector director de una recta
3.1. Direcciones de rectas y de planos

- Direcciones de una recta dada en paramétrica
La dirección de una recta nos la da obviamente su vector director. Si la recta viene dada en paramétrica o en forma continua, su vector director es evidente.

- Dirección de un plano dada en forma implícita
La dirección de un plano está determinada por un vector normal (perpendicular) a él. Si el vector viene dado por su ecuación implícita, ax + by + cz = 0, el vertor de coordenadas a, b y c es normal al plano.
Resultado de imagen de vector director de un plano en forma implicita

- Plano paralelo a dos rectas
Si el plano P es paralelo a dos rectas, r y r´, el vector normal al plano viene dado por la multiplicación de los vectores directores de las rectas.
Resultado de imagen de hallar plano paralelo a dos rectas
- Recta definida por dos planos
Cuando la recta se da en forma implícita (como intersección de dos planos):
un vector director se obtiene como producto vectorial de los vectores normales de los planos.

Resultado de imagen de recta intersección de dos planos

Cómo sacar el vector director y un punto de la recta intersección de dos planos para hallar su ecuación paramétrica o continua (vídeo):

3.2. Medida de ángulos entre rectas y planos

Para el estudio de ángulos entre rectas, entre planos y entre rectas y planos, necesitamos disponer para cada figura de un vector que caracterice su dirección. En la recta ese papel lo cumple, su vector director y en el plano, su vector normal.


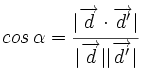
- Ángulo entre dos rectas

Resultado de imagen de angulo entre dos rectas formula
Resultado de imagen de angulo entre dos rectas formula

- Ángulo entre dos planos


Resultado de imagen de angulo entre dos planos formula


- Ángulo entre una recta y un plano

Resultado de imagen de angulo entre recta y plano formulaResultado de imagen de angulo entre recta y plano
3.3. Distancia entre puntos, rectas y planos

- Distancia entre dos puntos
La distancia entre dos puntos es el módulo del vector que forman.



Ejemplo de cómo calcular la distancia entre dos puntos (vídeo):


- Distancia entre un punto y una recta
Se llama distancia de un punto P y una recta r a la longitud del segmento perpendicular del punto a la recta; es decir, la distancia de P a su proyección, P´, sobre la recta.
Resultado de imagen de distancia de un punto a una recta
Veamos cómo hallar la distancia de P a r por varios métodos:

Método constructivo:
1.Hallamos el plano (Pi) perpendicular a r que pasa por P.
El vector normal del plano (Pi) que buscamos coincide con el vector director de r (a, b, c); y para hallar la ecuación del plano completa (d) sustituimos el punto P que nos dan (x,y,z).
Ya tenemos la ecuación del plano (Pi) perpendicular a r que pasa por P

2.La intersección del plano y r es el punto P´ buscado, y con él se calcula la distancia de P a P´.

Una vez realizado el paso 1, sustituimos las coordenadas de r en la ecuación del plano (Pi), obtenemos "lambda". Una vez hallada lambda, sustituimos ésta en la ecuación de la recta y obtenemos las coordenadas del punto P´.
Ahora solo nos quedaría hallar la distancia de P a P´ creando un vector y calculando su módulo.

Calcular distancia punto-recta método constructivo:


Método del punto genérico:
El punto R genérico de la recta r tiene sus coordenadas dependientes del parámetro "lambda", si obligamos a que el vector que forman P y R sea perpendicular a r (producto escalar del vector P-R y del vector director de r sea 0) obtenemos el valor de "lambda" para el cual sustituyendo en r se halla 
P´. Teniendo el punto P´ hallaríamos el módulo del vector que forman P y P´.

Calcular distancia punto-recta método genérico:


Método del producto vectorial: cálculo directo de la distancia:

El módulo del producto vectorial nos da el área del paralelogramo que forman, si dividimos el área del paralelogramo entre la base (que corresponde con el vector director de la recta r) obtenemos su altura (distancia que buscamos)
Resultado de imagen de cálculo directo de la distancia: fromula producto vectorial 

Siendo P en este caso el punto R genérico de la recta r, A el punto que nos dan, Q el punto intersección P´y el vector u, el vector director de la recta r.

Calcular distancia punto-recta método producto vectorial:


- Distancia de un punto a un plano
La distancia entre un punto P y un plano Pi es la distancia entre P y su proyección sobre el plano, P´.

La obtención de P´ se puede realizar de forma similar a como hemos hecho en el caso anterior (dist. punto-recta):
1.Hallamos la recta r que pasa por P y es perpendicular a Pi.
2.P´ es el punto de intersección de r con Pi, una vez obtenido P´ hallamos el módulo del vector que forman P y P´.

Resultado de imagen de distancia de punto a plano
Para asegurarnos podemos realizar ésta fórmula:

Resultado de imagen de distancia de punto a plano FORMULA

Y aquí os dejo un vídeo para que lo veáis mucho más claro:




-Distancia de una recta a un plano
Si la recta y el plano se cortan la distancia es cero.
Si no se cortan es porque o son paralelas o la recta está en el plano, y en estos dos casos la distancia buscada es la distancia de cualquiera de los puntos de la recta al plano.
Si son coincidentes la distancia es cero ya que la recta se encontraría en el mismo plano; si son paralelas solo tendríamos que elegir cualquier punto de la recta r y realizar lo mismo que en el cálculo de la distancia punto-plano:

1.Estudiar la posición relativa de la recta y el plano, bien mediante rangos o bien estudiando el producto escalar del vector normal del plano y del director de la recta. 

Mediando producto escalar de vectores director y normal:


Si vector director r x vector normal (escalarmente) es distinto de cero, se cortan.

Si vector directo x vector normal (escalarmente) es igual a cero, bien son coincidentes (está incluida) o bien son paralelas.


2.Elegir un punto P cualquiera de r, y hallar una recta s que sea perpendicular a Pi (a,b,c) y que contenga a P (x,y,z).
3.Calcular el punto de intersección P´entre s y el plano Pi, (averiguando "lambda").
4.Hallar el módulo (distancia) de P-P´.Ya tendíamos la distancia de la recta r al plano Pi.

















- Distancia entre dos planos
Si los planos se cortan, la distancia entre ellos es cero.
Si no se cortan, es porque tienen la misma dirección y, por tanto, la distancia buscada es la distancia de un punto P de uno de los planos a otro.

1. Estudiar la posición relativa de los dos planos, (mediante rangos o mediante producto escalar)
2. Escoger un punto cualquiera de uno de los planos, Pi, y hallar una recta r perpendicular al plano alfa (a,b,c)(al no escogido) y que contenga al punto escogido.(x,y,z)
3.Calcular el punto intersección P´ de la recta r y el plano (alfa). Hallando lambda.
4.Hallar la distancia de P a P´ mediante el módulo del vector que forman (P-P´).





- Distancia entre dos rectas

Primero tenemos que estudiar la posición relativa de las dos rectas;
si se cortan la distancia entre las rectas es cero,
si son paralelas, hallaremos la distancia al igual que hicimos de punto a recta, anteriormente (calculando un plano Pi que sea perpendicular a una recta y que contenga un punto de la otra, una vez que tenga el plano hallar la intersección plano-recta que será P´ y ya tendremos el punto con el que junto a P crearemos un vector y el módulo de éste será la distancia entre las rectas),
si se cruzan, podemos utilizar varios métodos:

Método del plano paralelo:
Hallamos el plano Pi paralelo a s que contiene a r. La distancia se calculará, entonces, desde un punto de r al plano Pi.

Método del vector variable:
R es un punto genérico de r, sus coordenadas dependen de "lambda".
S es un punto genérico de s, sus coordenadas dependen de "mu"
El vector R-S, es un vector con origen en R y extremo en S, sus coordenadas dependen de los parámetros lambda y mu.

Obligamos que R-S sea perpendicular a r y a s, mediante el producto escalar de r y de s, da lugar a un sistema de dos ecuaciones con dos incógnitas. Resolviéndolo, se obtiene lambda y mu y, por tanto, r y s para los cuales R-S es perpendicular a r y a s.

Método del producto mixto:
El volumen del paralelepípedo que forman los vectores directores de r y s y el vector P-Q es el módulo del producto mixto que forman.
El área de la base es el módulo del módulo del producto vectorial de los vectores directores de r y s.
Su altura es la distancia de Q a Pi, es decir, la distancia de r a s.

Si dividimos el módulo del producto mixto de los vectores que forman el paralelepípedo entre el módulo de los vectores directores de r y s nos da la distancia entre las dos rectas.

3.4. Medida de áreas y volúmenes

El área de un paralelogramo viene determinada por el módulo del producto vectorial de los vectores directores de las rectas.

- El área de un triángulo del que se conocen los vértices
El área de un triángulo es la mitad del área del paralelogramo.

- Volumen de un tetraedro del que se conocen los vértices

El volumen de un paralelepípedo corresponde con el producto mixto de los vectores que lo forman, por lo que el volumen de un tetraedro es un sexto (1/6) del producto mixto del paralelepípedo.









Publicar un comentario