Geometría 2.- Puntos, rectas y planos en el espacio

0 comentarios
GEOMETRÍA

2. Puntos, rectas y planos en el espacio

2.1. Sistema de referencia en el espacio



2.2. Aplicaciones de los vectores a problemas geométricos

- Coordenadas del vector que une dos puntos



- Comprobación de que tres puntos están alineados

Resultado de imagen de tres puntos alineados condicionResultado de imagen de tres puntos alineados condicion




Aquí os dejo un vídeo en el que lo veréis con claridad:






- Punto medio de un segmento


Resultado de imagen de punto medio de un segmento


Vídeo, cálculo del punto medio de un segmento:













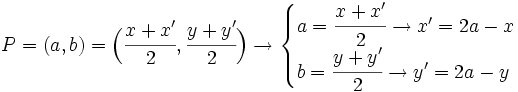
- Simétrico de un punto respecto de otro

Resultado de imagen de simétrico de un punto respecto de otro






Aquí os dejo un vídeo con un ejemplo:





2.3. Ecuaciones de la recta





Vídeo sobre ecuaciones de la recta:


2.4. Posiciones relativas de dos rectas

Para determinar la posición relativa de dos rectas vamos a trabajar con rangos de matrices, y según las condiciones que se cumplan:





2.5. Ecuaciones del plano







2.6. Posición relativa de planos y rectas

- Dos planos
Dos panos pueden cortase, ser paralelos o coincidir. El sistema formado por sus ecuaciones da lugar a las matrices A y A*.
El estudio de sus rangos nos da información sobre sus soluciones y, por tanto, sobre su posición relativa.

Si rango A = rango de A*= 2 los planos se cortan.
Si rango de A=1 y rango de A*= 2 los planos son paralelos.
Si rango A= rango A*= 1 se trata del mismo plano.



- Recta y plano
Una recta r es paralela o está contenida en un plano P.












Publicar un comentario